HALF of dementia cases are caused by six lifestyle factors, study finds… but experts say you can reverse them

The number of people living with some form of dementia is expected to double in the next 25 years, and while for some it’s in their genes, for others, the disease may be heavily influenced by their lifestyle.

Now, researchers have isolated 17 factors that have the largest influence on two of the most common forms of dementia, Alzheimer’s disease and vascular dementia. 

While some are predetermined or unchangeable, including age, genetics and sex, others, such as alcohol consumption, physical activity and smoking, are under a person’s control. 

It is estimated that 45 percent of dementia case are attributable to potentially modifiable risk factors.  

The team from Lund University in Sweden looked at 17 factors, both fixed and flexible, among 494 participants: heart disease, high cholesterol, heart medications, stroke status, age, blood pressure, smoking status, diabetes, low and high alcohol consumption, sleep, carrying the APOE e4 gene, depression, living alone, BMI, sex and education. 

They then examined how each of these factors impacted key areas and proteins in the brain that have been linked to cognitive decline and dementia. 

The experts believe honing in on these modifiable risk factors early could prevent the disease from developing later in life. 

A new study found that while some dementia risk factors cannot be changed, there are several that rely on lifestyle changes (stock image)

A new study found that while some dementia risk factors cannot be changed, there are several that rely on lifestyle changes (stock image)

The three impacts they monitored were white matter hyperintensities (WMHs), amyloid-beta and tau. WMHs are damaged areas of the brain often present in older adults or people with high blood pressure, diabetes or smoking habits. 

They have been linked to cognitive decline, dementia and stroke. 

Amyloid-beta are proteins that form plaques in the brain typically observed in Alzheimer’s patients and tau is a protein in the brain that can forms tangles and disrupts cell function, also observed in the brains of dementia patients.

Sebastian Palmqvist, study author and senior lecturer in neurology at Lund University, said: ‘Much of the research available on the risk factors that we ourselves can influence does not take into account the different causes of dementia. 

‘This means that we have had limited knowledge of how individual risk factors affect the underlying disease mechanisms in the brain.’

The findings comes as Alzheimer’s disease, the most common form of dementia, strikes nearly 7million Americans, with that figure set to nearly double by 2050.

Vascular dementia impacts about 807,000 Americans, but any type of vascular-related dementia, such as mixed dementia with a vascular component, impacts about 2.7 million people. 

Join the debate

Should doctors do more to push lifestyle changes if they can prevent half of dementia cases?

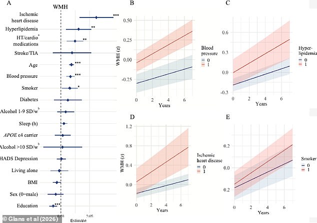
The above plot, left, shows predictors for white matter hyperintensities ranked by their impact. The four graphs, right, show the WMH accumulation impacted by blood pressure, high cholesterol, heart disease and smoking status

The above plot, left, shows predictors for white matter hyperintensities ranked by their impact. The four graphs, right, show the WMH accumulation impacted by blood pressure, high cholesterol, heart disease and smoking status

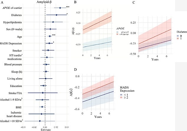
The above plot, left, shows predictors for amyloid proteins ranked by their impact. The three graphs, right, show the amyloid protein accumulation impacted by APOE genes, diabetes and depression

The above plot, left, shows predictors for amyloid proteins ranked by their impact. The three graphs, right, show the amyloid protein accumulation impacted by APOE genes, diabetes and depression

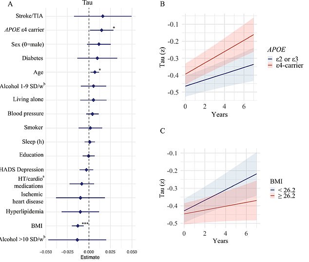
The above plot, left, shows predictors for tau proteins ranked by their impact. The two graphs, right, show the tau accumulation impacted by APOE genes and body mass index

The above plot, left, shows predictors for tau proteins ranked by their impact. The two graphs, right, show the tau accumulation impacted by APOE genes and body mass index

The findings also build on previous research published in The Lancet, which identified 14 modifiable risk factors for dementia, including physical inactivity, smoking, diet, pollution and lack of social contact, among others.

Another separate study, the US POINTER study, unveiled last year, showed changes like aerobic exercises and a Mediterranean diet improve cognitive skills in at-risk populations. 

The new study, published earlier this month in The Journal of Prevention of Alzheimer’s Disease, looked at 494 participants living in Sweden, who were given lifestyle questionnaires, genetic blood tests to look for the APOE e4 gene and other health tests to measure body mass index (BMI), blood pressure and sleep, among others.

The researchers also collected samples of the participants’ cerebrospinal fluid, which circulates around the brain and spinal cord to carry cells and protect the structures, and conducted MRI and positron emission tomography (PET) scans.

The average participant age was 65, and patients were typically followed for four years. 

The team found older participants had greater progression of changes in their white matter hyperintensities, suggesting damaged areas of the brain. Additionally, people with the APOE e4 gene saw faster accumulation of amyloid-beta and tau.

Old age and APOE e4 status are two of the most well-known risk factors for dementia. However, the team also found several vascular brain changes that were associated with a higher risk of dementia. 

These included high blood pressure, high fats in the blood called hyperlipidemia, heart disease and smoking. These conditions block or damage blood vessels in the brain, disrupting blood flow and oxygen supply. This leads to death in areas of the brain responsible for memory and cognition. 

The team also pointed toward lower levels of education as a risk factor, which could be due to higher rates of stress and a reduced chance of having reliable medical care to prevent conditions linked to dementia. 

Rebecca Luna's (pictured here) early-onset Alzheimer's symptoms appeared in her late 40s. She would black out mid-conversation, lose her keys and leave the stove before returning to find her kitchen full of smoke

Rebecca Luna’s (pictured here) early-onset Alzheimer’s symptoms appeared in her late 40s. She would black out mid-conversation, lose her keys and leave the stove before returning to find her kitchen full of smoke

Jana Nelson was 50 when diagnosed with early onset dementia, following severe personality changes and a sharp cognitive decline that left her unable to solve simple math problems or name colors

Jana Nelson was 50 when diagnosed with early onset dementia, following severe personality changes and a sharp cognitive decline that left her unable to solve simple math problems or name colors

Isabelle Glans, study author and doctoral student at Lund University, said: ‘We saw that most modifiable risk factors – smoking, cardiovascular disease, high blood lipids and high blood pressure, among others – were linked to damage to the brain’s blood vessels and a faster accumulation of so-called white matter changes. 

‘This damage impairs the function of the blood vessels and leads to vascular brain damage – and can ultimately lead to vascular dementia.’

Additionally, diabetes was associated with faster accumulation of amyloid-beta. Experts believe this may be because insulin resistance, which results from diabetes, impairs signaling pathways that would normally transport amyloid-beta out of the brain, causing it to accumulate. 

‘Diabetes was associated with increased accumulation of amyloid β, while people with lower BMI had faster accumulation of tau,’ Glans said. ‘However, these findings need to be investigated further and validated in future studies.’

Meanwhile, having a lower BMI was associated with greater accumulation of tau. Despite obesity long being linked to dementia due to vascular damage and inflammation, a low BMI in older age could be due to tau tangles developing in brain regions that control appetite and weight like the hypothalamus and medial temporal lobe. 

Low BMI has also been linked to reduced cerebral metabolism, a dip in the brain’s energy, glucose and oxygen consumption, and atrophy of the brain. 

The study authors said while further research is needed, the new study shows adopting lifestyle changes early could lower the risk of dementia.

Palmqvist said: ‘Focusing on vascular and metabolic risk factors can still help reduce the combined effects of several brain changes that occur simultaneously.’

Source link

Related Posts

Load More Posts Loading...No More Posts.